扫一扫,关注我们
点赞 ( 0 )
评论 ( 0 )
收藏 ( 0 )
30MW及以上光伏、风电必须具备一次调频功能,华中区域“两个细则”印发
中能硅业首期5.4万吨颗粒硅扩产项目开工
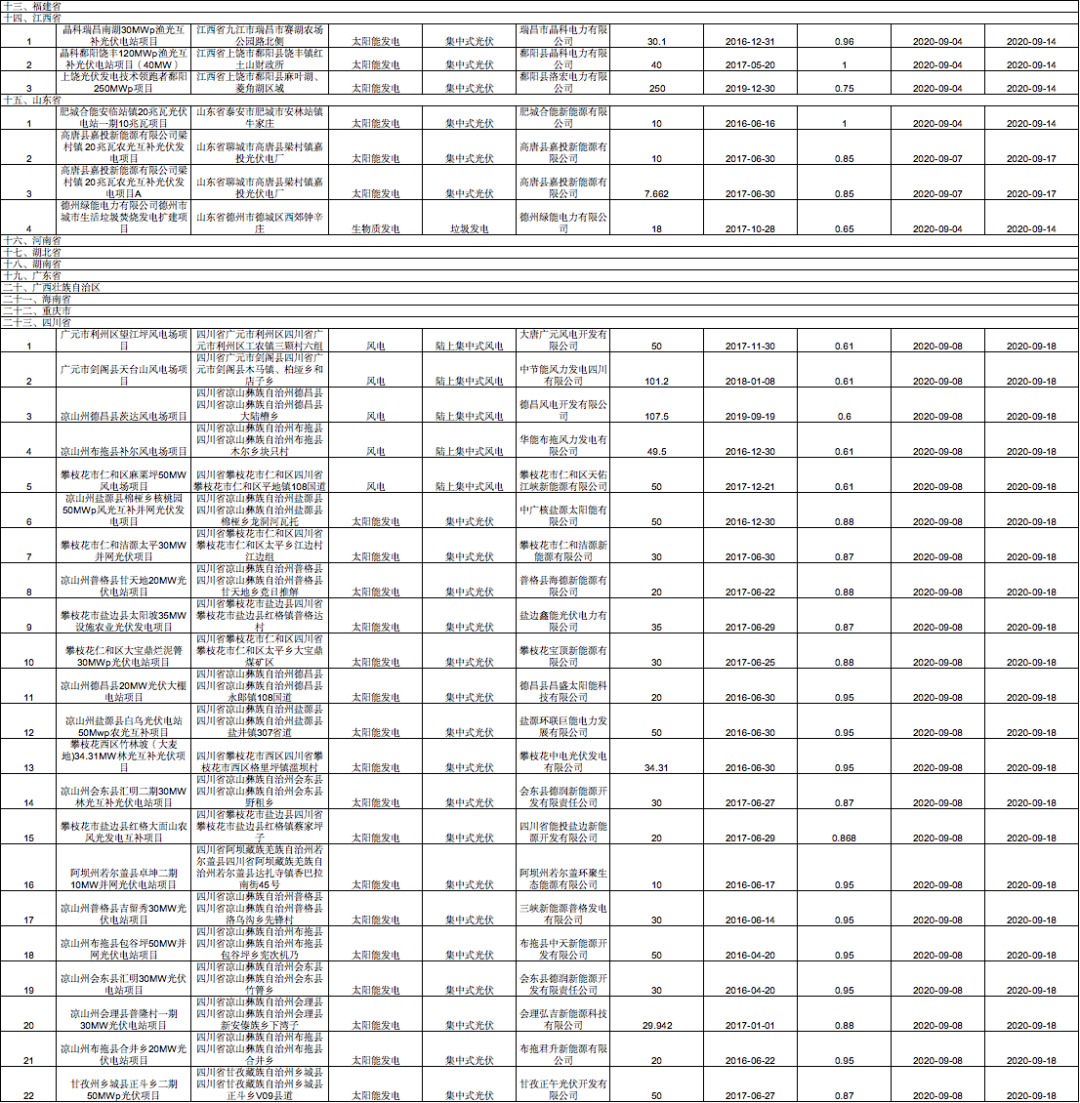
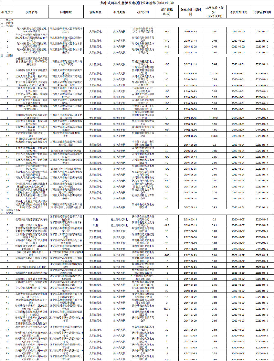
9月7日,国网新能源云公示了最新一批的可再生能源补贴清单。本次公示共涉及项目123个,容量6230.27152MW。其中,光伏项目113个,规模为5687.17152MW,风电项目9个,规模为525.1MW,垃圾发电项目1个,规模为18MW。
在本次公示中,涉及省份为河北、山西、辽宁、浙江、安徽、江西、山东、四川、陕西和宁夏回族自治区十个省份。其中,山西省公示规模最大为1.66GW。具体清单见下:
以投资光伏电站为名吸收公众存款5.3亿!获刑七...
First solar 2021一季度销售额52亿,明年组件产...
晶澳越南基地年产3.5GW高功率组件项目正式投产...
卓阳集团1GW、华能600MW农光互补电站拟落地江西...
助力乡村振兴,特变电工120MW光伏发电示范项目...
2020印度太阳能市场排行榜:阳光电源、华为、隆...
微信二维码