光伏组件两种I-V特性修正公式的比较
责任编辑:bianjibu 作者:高鹏,刘鑫 2015/7/24 15:00:40 浏览:4561 科技

在光伏组件研究领域,各国和国际标准委员会大都采用标准测试条件(简称STC,指在辐照度1000W/㎡、电池温度25℃、AM 1.5)下的效率或输出功率来标定光伏电池和组件的性能,但是在出卖、购买组件时,制造商和客户更倾向于用最大功率(即在STC条件下组件的最大输出功率)来衡量其价值,因此对光伏组件最大功率的测量尤为重要[1]


光伏组件的最大功率测量是在STC条件下对电压-电流特性的测量(I-V特性曲线的获取)。受限于实验室的能力以及户外检测时环境的影响,测量中很难完全实现STC条件的要求。为了使结果具有可重复性和准确性,需要引入I-V特性曲线修正公式,将测量结果修正到STC条件。本文通过实验测量并依据IEC 60891-2009ASTM 1036-93所述的两组I-V特性曲线修正公式,换算不同辐照度、温度下的测量数据,计算得出两组STC条件下的I-V特性曲线,同时结合误差分析方法,比较两组I-V特性曲线修正公式的适用性和准确性。


1修正公式


1.1 IEC修正公式


依据IEC 60891-2009,实测I-V特性的修正公式如下:


在光伏组件研究领域,各国和国际标准委员会大都采用标准测试条件(简称STC,指在辐照度1000W/㎡、电池温度25℃、AM 1.5)下的效率或输出功率来标定光伏电池和组件的性能,但是在出卖、购买组件时,制造商和客户更倾向于用最大功率(即在STC条件下组件的最大输出功率)来衡量其价值,因此对光伏组件最大功率的测量尤为重要[1]。光伏组件的最大功率测量是在STC条件下对电压-电流特性的测量(I-V特性曲线的获取)。受限于实验室的能力以及户外检测时环境的影响,测量中很难完全实现STC条件的要求。为了使结果具有可重复性和准确性,需要引入I-V特性曲线修正公式,将测量结果修正到STC条件。本文通过实验测量并依据IEC 60891-2009和ASTM 1036-93所述的两组I-V特性曲线修正公式,换算不同辐照度、温度下的测量数据,计算得出两组STC条件下的I-V特性曲线,同时结合误差分析方法,比较两组I-V特性曲线修正公式的适用性和准确性。1修正公式1.1 IEC修正公式依据IEC 60891-2009,实测I-V特性的修正公式如下:clip_image002.png[2](1)clip_image004.png[2](2)式中:I0——STC下的电流值,I——实测电流值,Isc——实测短路电流值,V0——STC下的电压值,V——实测电压值,G1——实测辐照度,G2——STC下的辐照度,α——组件电流温度系数,T0——STC下的电池温度,T——实测电池温度,β——组件电压温度系数,K——曲线修正系数,RS——组件内阻。1.2 ASTM修正公式clip_image006.png[3](3)clip_image008.png[3](4)1.3 最大功率的计算公式光伏组件在STC条件下的最大输出功率,是由修正后的特性点电流、电压值的乘积所得,公式如下:Po=Io×Vo(5)式中:Po——STC下的最大功率值,Io——STC下的最大功率点电流值,Vo——STC下的最大功率电压值。2测量方法2.1实验设备实验所用仪器包括:Daystar公司生产的I-V曲线测试仪DS3200,KIPPZONEN公司的总辐射表CMP21,CAMPBELL公司的温度传感器110PV-1(组件背板温度)和109(环境温度),MetOne公司的风速传感器010C。其中,所述的传感器都可同时与I-V曲线测试仪DS3200相连,并能实时记录I-V曲线及传感器数据。所用仪器都可溯源至国家基准。2.2样品参数实验中选用最大功率为45W的薄膜组件,标称参数如表1所示。通过组件说明书得出电流温度系数α为0.0009,电压温度系数β为-0.0033。按照标准IEC 60891-2009中的要求,得出组件内阻Rs=1.705,曲线修正系数K= -0.0022。表1标称参数Table1the nominal parameter2.3实验程序在户外条件下,测量被测组件的I-V特性曲线,同时记录短路电流Isc,开路电压Voc,最大功率电流Imax,最大功率电压Vmax及最大功率Pmax并获得相对应的辐照度、风速、环境温度及背板温度数据,分别按照IEC 60891-2009和ASTM 1036-93内的修正公式要求(为表述简洁,分别将IEC60891-2009修正公式简称为IEC,ASTM 1036-93修正公式简称为ASTM),计算得出两组STC条件下的I-V特性曲线,并参考国外的先进检测及分析方法[4,5],对所获得的I-V特性曲线进行筛选,然后通过误差分析方法,使两组修正公式的差异体现出来。1)设备安装将被测样品组件安装在支架倾角为40°(±1°)且方位角为正南方向(±2°)的可调支架上[4],把被测组件输出侧连接到I-V曲线测试仪的输入端,将总辐射表、背板温度和风速传感器分别与I-V特性曲线测试仪的辅助端子相连。2)数据获取设置I-V曲线测试仪的采集间隔为1分钟,采集的数据为I-V特性曲线、辐照度、风速、环境温度及背板温度。对该样品组件进行10小时的连续测量,共获得600条I-V特性曲线数据。3)数据分析通过分析筛选,确定了一定条件(辐照度为400w/㎡~1100w/㎡,电池温度在20℃~65℃且风速低于1m/s[5])下的384条有效I-V特性曲线,将相关值分别代入两组修正公式,使其修正至STC条件,将得到的修正值分别与标称参数对比讨论,然后通过修正值与标称值的误差分析,论证两组I-V特性曲线修正公式的适用性和准确性。3修正后各参数的对比ASTM和IEC修正曲线的差异,往往由以下几个参量的差异表现出来:短路电流Isc,开路电压Voc,最大功率电流Imax,最大功率电压Vmax及最大功率Pmax。图1至图5分别为上述参量在不同环境条件下的实测值、修正值的关系图。clip_image010.png                                                                                                              图1短路电流的修正Fig.1 Correction of short-circuit current图1为短路电流的实测值、修正值在不同辐照度条件下变化关系的散点图。由图可知:实测短路电流Isc与辐照度呈正相关性,通过ASTM和IEC将实测短路电流Isc修正至STC的修正值在图中都较集中的呈水平线性分布。理论上把不同辐照度条件下的短路电流修正至STC条件后的值应该相同,而图1中两组修正值的分布也证明了这一点,两者修正值的坐标基本重合,差值范围在[-0.0039,0.0066]。clip_image012.png图2 开路电压的修正Fig.2 Correction of open-circuit voltage图2为开路电压的实测值、修正值随辐照度变化的散点图,图中,电压与辐照度相关性不强,而且两者修正值的坐标几乎重合。两者差值范围在[-0.042,0.0004],比对公式(2)和(4),两者电压的修正公式完全一致,但是由于两组公式修正电流I0值的不同引起了电压修正值的差异。clip_image014.png                                                                                                        图3最大功率点电流的修正Fig.3Correction of the maximum power point current图3为最大功率点电流的实测值、修正值散点图,图中可看出IEC与ASTM两者的修正值的差异随着辐照度的增加而减少,当最大功率点电流在400~800W/㎡时,两组公式的修正值会出现较大差异,IEC的修正值高于ASTM,随着辐照度的增大,差异不断减小,两者差值范围在[0.025,0.084]。但在800 ~1100 W/㎡时,两者基本重合,差值范围在[-0.016~0.030],特别在辐照度为1000 W/㎡附近时,差值最小值甚至达到0.00006。对比公式(1)和(3),两者修正后电流值为实测电流与辐照度和温度变化引起的电流变量之和。两组修正公式都采用clip_image016.png的结果来表示辐照度变化对电流的影响,不同之处在于公式(1)引入的是短路电流Isc而公式(3)则是实测电流I;两组修正公式在温度变化引起的电流变量(以下简称温度变量)计算中有明显差异,IEC直接用温度系数和温度变化量之积来表示温度变量,ASTM则采用实测电流、温度系数和温度变化量三者之积来表示。clip_image018.png                                                                                                    图4最大功率点电压的修正Fig.4 Correction of the maximum power point voltage图4为最大功率点电压的实测值、修正值散点图,图中,两者修正值基本重合,两者差值范围在[-0.027, 0.14]。clip_image020.png                                                                                                                图5 最大功率的修正Fig.5Correction of the maximum power图5为最大功率的实测值、修正值散点图,最大功率由公式(5)计算得出。图中,最大功率的差异趋势与图3相似,在400 ~800 W/㎡时会有较大差异,差值范围在[1.2,3.6],而800 ~1100 W/㎡时,差值范围在[0.7,1.2]。由图1至图5可知,两组公式修正后差异最大的参数为电流和功率,而电压造成的差异很细微。4.误差分析误差表示测得值与真值之差[6],本实验以标称参数为真实值,修正值为测量值,进行误差分析[7,8],由此做出5个参数的误差分析图,如图6所示,误差越接近0,说明修正值越接近真实值。图中可以看出两者最大功率修正值的误差有明显差异,若采用IEC的修正公式,最大功率整体误差的离散程度会高于ASTM,但IEC的误差平均值却更趋近于0,说明IEC最大功率Pmax的修正值平均数更接近标称值,计算IEC最大功率修正值的平均数clip_image022.png,仅比标称功率低0.0016%,而ASTM的clip_image024.png,比标称功率低2.5%,由此验证IEC最大功率Pmax的修正值平均数更接近标称值。结合图5,对图6中最大功率的误差进行分析,对IEC来说,在辐照度为400 ~800 W/㎡范围内,会出现较大误差,但误差会随着辐照度的增加而减小,离散程度呈递减趋势。而对ASTM而言,其误差在400 W/㎡~1100 W/㎡的辐照度范围内并未呈现明显递增递减趋势,离散程度也相对集中。深入分析可得出在辐照度为400 ~800 W/㎡时,即与STC条件有较大辐照度差异时,ASTM修正精准度明显优于IEC,而在800 ~1100 W/㎡时,ASTM的精准度在一定范围特别在接近STC辐照度条件时反而会低于IEC。clip_image026.jpg图6 误差分析图Fig.6 Error analysis chart以上分析的结果,可以验证IEC 60904-1-2006中提出户外自然光源下组件的I-V特性试验需在辐照度为800 W/㎡以上条件测量[9],其测量结果才能更加准确的修正至STC,两组公式修正值不同误差段的数据比率见表2所示。表2 ASTM和IEC修正值不同误差段数据比率Table2  ASTM and IEC correction value of different error data rate由表2可知,两种修正公式在短路电流Isc、开路电压Voc的修正中各个误差段的数据比率差异很小,说明两者对短路电流Isc、开路电压Voc修正的准确度基本相同。而单独分析最大功率点电流和电压并没有较强的指导性,但由它们乘积所得出的最大功率,是组件性能的重要参数,所以需对最大功率进行重点分析。最大功率的修正值误差范围在[-0.5,0.5]时,IEC的数据比率比ASTM高出4.4%,进一步分析发现,在400 ~800 W/㎡范围内,在[-1,1]误差区间内,ASTM的数据比率比IEC高出18%,说明ASTM在此辐照度区间内的修正精度更高,而在800 ~1100 W/㎡辐照度范围内,IEC具有比ASTM更高的修正精度,误差在[-1,1]区间内,IEC的数据比率比ASTM高出了7%。5结论1.IEC公式和ASTM公式在短路电流Isc、开路电压Voc的修正中各个误差段的数据比率差异很小,说明两者对短路电流Isc、开路电压Voc修正的准确度基本相同。2.ASTM所述修正公式在辐照度为400~1100 W/㎡范围内,最大功率Pmax的离散程度较平稳,并在辐照度为400 ~800 W/㎡范围内,有高于IEC的修正精度。所以,对最大功率的修正,ASTM具有比IEC更广的适用性。3.IEC公式在辐照度为800 W/㎡以上时,最大功率Pmax修正值离散程度较低,其修正准确度要高于ASTM公式。4.ASTM公式更适于在与STC条件有较大辐照度差异的环境(如户外自然环境)中进行组件性能检测,而IEC公式更适用于在接近STC条件的辐照度环境(如室内模拟环境)下进行检测。5.组件的性能是衡量其价值的重要依据,只有准确得出不同环境条件(室内或户外)下组件的性能,才能更好的评价组件质性能是衡量其价值的重要依据,只有准确得出不同环境条件(室内或户外)下组件的性能,才能更好的评价组件质量与价值,所以,验证IEC公式和ASTM公式对不同测试环境的适用性和准确性尤为重要。

式中:I0——STC下的电流值,I——实测电流值,Isc——实测短路电流值,V0——STC下的电压值,V——实测电压值,G1——实测辐照度,G2——STC下的辐照度,α——组件电流温度系数,T0——STC下的电池温度,T——实测电池温度,β——组件电压温度系数,K——曲线修正系数,RS——组件内阻。


1.2 ASTM修正公式


ASTM修正公式


1.3 最大功率的计算公式


光伏组件在STC条件下的最大输出功率,是由修正后的特性点电流、电压值的乘积所得,公式如下:

Po=Io×Vo5


式中:Po——STC下的最大功率值,Io——STC下的最大功率点电流值,Vo——STC下的最大功率电压值。


2测量方法


2.1实验设备


实验所用仪器包括:Daystar公司生产的I-V曲线测试仪DS3200KIPPZONEN公司的总辐射表CMP21CAMPBELL公司的温度传感器110PV-1(组件背板温度)和109(环境温度),MetOne公司的风速传感器010C。其中,所述的传感器都可同时与I-V曲线测试仪DS3200相连,并能实时记录I-V曲线及传感器数据。所用仪器都可溯源至国家基准。


2.2样品参数


实验中选用最大功率为45W的薄膜组件,标称参数如表1所示。通过组件说明书得出电流温度系数α为0.0009,电压温度系数β为-0.0033。按照标准IEC 60891-2009中的要求,得出组件内阻Rs=1.705,曲线修正系数K= -0.0022


标称参数.png


1标称参数


Table1the nominal parameter


2.3实验程序


在户外条件下,测量被测组件的I-V特性曲线,同时记录短路电流Isc,开路电压Voc,最大功率电流Imax,最大功率电压Vmax及最大功率Pmax并获得相对应的辐照度、风速、环境温度及背板温度数据,分别按照IEC 60891-2009ASTM 1036-93内的修正公式要求(为表述简洁,分别将IEC60891-2009修正公式简称为IECASTM 1036-93修正公式简称为ASTM),计算得出两组STC条件下的I-V特性曲线,并参考国外的先进检测及分析方法[45],对所获得的I-V特性曲线进行筛选,然后通过误差分析方法,使两组修正公式的差异体现出来。


1)设备安装


将被测样品组件安装在支架倾角为40°(±1°)且方位角为正南方向(±2°)的可调支架上[4],把被测组件输出侧连接到I-V曲线测试仪的输入端,将总辐射表、背板温度和风速传感器分别与I-V特性曲线测试仪的辅助端子相连。


2)数据获取


设置I-V曲线测试仪的采集间隔为1分钟,采集的数据为I-V特性曲线、辐照度、风速、环境温度及背板温度。对该样品组件进行10小时的连续测量,共获得600I-V特性曲线数据。


3)数据分析


通过分析筛选,确定了一定条件(辐照度为400w/㎡~1100w/㎡,电池温度在20℃~65℃且风速低于1m/s[5])下的384条有效I-V特性曲线,将相关值分别代入两组修正公式,使其修正至STC条件,将得到的修正值分别与标称参数对比讨论,然后通过修正值与标称值的误差分析,论证两组I-V特性曲线修正公式的适用性和准确性。


3修正后各参数的对比


ASTMIEC修正曲线的差异,往往由以下几个参量的差异表现出来:短路电流Isc,开路电压Voc,最大功率电流Imax,最大功率电压Vmax及最大功率Pmax。图1至图5分别为上述参量在不同环境条件下的实测值、修正值的关系图。


短路电流的修正.png


1短路电流的修正


1为短路电流的实测值、修正值在不同辐照度条件下变化关系的散点图。由图可知:实测短路电流Isc与辐照度呈正相关性,通过ASTMIEC将实测短路电流Isc修正至STC的修正值在图中都较集中的呈水平线性分布。理论上把不同辐照度条件下的短路电流修正至STC条件后的值应该相同,而图1中两组修正值的分布也证明了这一点,两者修正值的坐标基本重合,差值范围在[-0.0039,0.0066]


开路电压的修正.png


2 开路电压的修正


2为开路电压的实测值、修正值随辐照度变化的散点图,图中,电压与辐照度相关性不强,而且两者修正值的坐标几乎重合。


两者差值范围在[-0.042,0.0004],比对公式(2)和(4),两者电压的修正公式完全一致,但是由于两组公式修正电流I0值的不同引起了电压修正值的差异。


最大功率点电流的修正.png


3最大功率点电流的修正


3为最大功率点电流的实测值、修正值散点图,图中可看出IECASTM两者的修正值的差异随着辐照度的增加而减少,当最大功率点电流在400800W/㎡时,两组公式的修正值会出现较大差异,IEC的修正值高于ASTM,随着辐照度的增大,差异不断减小,两者差值范围在[0.0250.084]。但在800 1100 W/㎡时,两者基本重合,差值范围在[-0.0160.030],特别在辐照度为1000 W/㎡附近时,差值最小值甚至达到0.00006


对比公式(1)和(3),两者修正后电流值为实测电流与辐照度和温度变化引起的电流变量之和。两组修正公式都采用clip_image016.png的结果来表示辐照度变化对电流的影响,不同之处在于公式(1)引入的是短路电流Isc而公式(3)则是实测电流I;两组修正公式在温度变化引起的电流变量(以下简称温度变量)计算中有明显差异,IEC直接用温度系数和温度变化量之积来表示温度变量,ASTM则采用实测电流、温度系数和温度变化量三者之积来表示。


最大功率点电压的修正.png


4最大功率点电压的修正


4为最大功率点电压的实测值、修正值散点图,图中,两者修正值基本重合,两者差值范围在[-0.027, 0.14]


最大功率的修正.png


5 最大功率的修正


5为最大功率的实测值、修正值散点图,最大功率由公式(5)计算得出。图中,最大功率的差异趋势与图3相似,在400 800 W/㎡时会有较大差异,差值范围在[1.2,3.6],800 1100 W/㎡时,差值范围在[0.7,1.2]


由图1至图5可知,两组公式修正后差异最大的参数为电流和功率,而电压造成的差异很细微。


4.误差分析


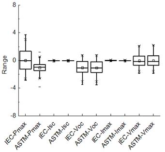
误差表示测得值与真值之差[6],本实验以标称参数为真实值,修正值为测量值,进行误差分析[7,8],由此做出5个参数的误差分析图,如图6所示,误差越接近0,说明修正值越接近真实值。


图中可以看出两者最大功率修正值的误差有明显差异,若采用IEC的修正公式,最大功率整体误差的离散程度会高于ASTM,但IEC的误差平均值却更趋近于0,说明IEC最大功率Pmax的修正值平均数更接近标称值,计算IEC最大功率修正值的平均数clip_image022.png,仅比标称功率低0.0016%,而ASTMclip_image024.png,比标称功率低2.5%,由此验证IEC最大功率Pmax的修正值平均数更接近标称值。


结合图5,对图6中最大功率的误差进行分析,对IEC来说,在辐照度为400 800 W/㎡范围内,会出现较大误差,但误差会随着辐照度的增加而减小,离散程度呈递减趋势。而对ASTM而言,其误差在400 W/㎡~1100 W/㎡的辐照度范围内并未呈现明显递增递减趋势,离散程度也相对集中。深入分析可得出在辐照度为400 800 W/㎡时,即与STC条件有较大辐照度差异时,ASTM修正精准度明显优于IEC,而在800 1100 W/㎡时,ASTM的精准度在一定范围特别在接近STC辐照度条件时反而会低于IEC


误差分析图.jpg


6 误差分析图


以上分析的结果,可以验证IEC 60904-1-2006中提出户外自然光源下组件的I-V特性试验需在辐照度为800 W/㎡以上条件测量[9],其测量结果才能更加准确的修正至STC,两组公式修正值不同误差段的数据比率见表2所示。


ASTM和IEC修正值不同误差段数据比率.png


2 ASTMIEC修正值不同误差段数据比率


由表2可知,两种修正公式在短路电流Isc、开路电压Voc的修正中各个误差段的数据比率差异很小,说明两者对短路电流Isc、开路电压Voc修正的准确度基本相同。而单独分析最大功率点电流和电压并没有较强的指导性,但由它们乘积所得出的最大功率,是组件性能的重要参数,所以需对最大功率进行重点分析。


最大功率的修正值误差范围在[-0.5,0.5]时,IEC的数据比率比ASTM高出4.4%,进一步分析发现,在400 800 W/㎡范围内,在[-1,1]误差区间内,ASTM的数据比率比IEC高出18%,说明ASTM在此辐照度区间内的修正精度更高,而在800 1100 W/㎡辐照度范围内,IEC具有比ASTM更高的修正精度,误差在[-1,1]区间内,IEC的数据比率比ASTM高出了7%


5结论


1.IEC公式和ASTM公式在短路电流Isc、开路电压Voc的修正中各个误差段的数据比率差异很小,说明两者对短路电流Isc、开路电压Voc修正的准确度基本相同。


2.ASTM所述修正公式在辐照度为4001100 W/㎡范围内,最大功率Pmax的离散程度较平稳,并在辐照度为400 800 W/㎡范围内,有高于IEC的修正精度。所以,对最大功率的修正,ASTM具有比IEC更广的适用性。


3IEC公式在辐照度为800 W/㎡以上时,最大功率Pmax修正值离散程度较低,其修正准确度要高于ASTM公式。


4.ASTM公式更适于在与STC条件有较大辐照度差异的环境(如户外自然环境)中进行组件性能检测,而IEC公式更适用于在接近STC条件的辐照度环境(如室内模拟环境)下进行检测。


5.组件的性能是衡量其价值的重要依据,只有准确得出不同环境条件(室内或户外)下组件的性能,才能更好的评价组件质


性能是衡量其价值的重要依据,只有准确得出不同环境条件(室内或户外)下组件的性能,才能更好的评价组件质量与价值,所以,验证IEC公式和ASTM公式对不同测试环境的适用性和准确性尤为重要。


本文由光伏們进行编辑整理,转载请注明出处、作者和本文链接。
了解更多光伏相关欢迎关注光伏們微信号:PV_MEN如果您有光伏趣闻或光伏相关的稿件可以投稿给我们:edit@pvmen.com
文章评论(0)
登录后发表评论
最新评论
合作伙伴partner

微信二维码